PeptideDB

Ritonavir metabolite 176655-55-3

Ritonavir metabolite 176655-55-3

CAS No.: 176655-55-3

Ritonavir metabolite (Desthiazolylmethyloxycarbonyl Ritonavir) is a metabolite of Ritonavir formed by removal of the thi
Data collection:peptidedb@qq.com

This product is for research use only, not for human use. We do not sell to patients.

Ritonavir metabolite (Desthiazolylmethyloxycarbonyl Ritonavir) is a metabolite of Ritonavir formed by removal of the thiazole moiety from the carbamate (thiazolylmethyloxycarbonyl) section. Ritonavir (ABT-538; A-84538; RTV; ABT538, Norvir) is an inhibitor of HIV-1 protease used to treat HIV infection and AIDS.



Physicochemical Properties


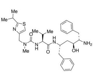
Molecular Formula C32H45N5O3S
Molecular Weight 579.796406507492
Exact Mass 579.324
CAS # 176655-55-3
Related CAS # Ritonavir;155213-67-5
PubChem CID 11467322
Appearance White to off-white solid powder
Boiling Point 822.431ºC at 760 mmHg
Flash Point 451.19ºC
Vapour Pressure 0mmHg at 25°C
Index of Refraction 1.587
LogP 6.226
Hydrogen Bond Donor Count 4
Hydrogen Bond Acceptor Count 6
Rotatable Bond Count 14
Heavy Atom Count 41
Complexity 787
Defined Atom Stereocenter Count 4
SMILES

CC(C)C1=NC(=CS1)CN(C)C(=O)N[C@@H](C(C)C)C(=O)N[C@@H](CC2=CC=CC=C2)C[C@@H]([C@H](CC3=CC=CC=C3)N)O

InChi Key IQKWCORIMSRQGZ-AMEOFWRWSA-N
InChi Code

InChI=1S/C32H45N5O3S/c1-21(2)29(36-32(40)37(5)19-26-20-41-31(35-26)22(3)4)30(39)34-25(16-23-12-8-6-9-13-23)18-28(38)27(33)17-24-14-10-7-11-15-24/h6-15,20-22,25,27-29,38H,16-19,33H2,1-5H3,(H,34,39)(H,36,40)/t25-,27-,28-,29-/m0/s1
Chemical Name

(2S)-N-[(2S,4S,5S)-5-amino-4-hydroxy-1,6-diphenylhexan-2-yl]-3-methyl-2-[[methyl-[(2-propan-2-yl-1,3-thiazol-4-yl)methyl]carbamoyl]amino]butanamide
Synonyms

176655-55-3; Ritonavir Metabolite; Desthiazolylmethyloxycarbonyl Ritonavir; Ritonavir metabolite M1; UNII-34F916N28Z; Ritonavir metabolite Desthiazolylmethyloxycarbonyl Ritonavir; A-98498; (2S)-N-[(2S,4S,5S)-5-amino-4-hydroxy-1,6-diphenylhexan-2-yl]-3-methyl-2-[[methyl-[(2-propan-2-yl-1,3-thiazol-4-yl)methyl]carbamoyl]amino]butanamide;
HS Tariff Code 2934.99.9001
Storage

Powder-20°C 3 years

4°C 2 years

In solvent -80°C 6 months

-20°C 1 month

Shipping Condition Room temperature (This product is stable at ambient temperature for a few days during ordinary shipping and time spent in Customs)

Biological Activity


Targets HIV; metabolite of Ritonavir
ln Vitro The structural elucidation of metabolites of ritonavir and indinavir, HIV-protease inhibitor drugs, by liquid chromatography-electrospray ionization mass spectrometry is described. Ritonavir and indinavir were biotransformed separately by incubation with transplant quality human liver microsomes. The incubation mixture was then analyzed by HPLC coupled to ion trap (ITMS) and triple quadrupole mass analyzers. The metabolites retained most of the structural features of the parent molecules. Baseline chromatographic resolution of isobaric species by gradient elution HPLC permitted rapid structural identification of these metabolites. Both drugs were biotransformed primarily by oxidative and hydrolytic pathways to numerous metabolites that retained many of the features of the parent molecules. Triple quadrupole and ion trap mass spectrometry were applied jointly to thoroughly detect and thoroughly characterize these metabolites. Furthermore, retention-time and data-dependent scanning assured acquisition of detailed MS-MS spectra for rapid detection of metabolic pathways of ritonavir and indinavir. Comparison of the ITMS and triple quadrupole data showed qualitative and quantitative differences in the mass spectral patterns, suggesting that these instruments should be used in parallel to ensure comprehensive metabolite detection and characterization by LC-MS[1].
References [1]. Structural elucidation of metabolites of ritonavir and indinavir by liquid chromatography-mass spectrometry. J Chromatogr A . 2002 Oct 18;974(1-2):91-101.

Solubility Data


Solubility (In Vitro) May dissolve in DMSO (in most cases), if not, try other solvents such as H2O, Ethanol, or DMF with a minute amount of products to avoid loss of samples
Solubility (In Vivo) Note: Listed below are some common formulations that may be used to formulate products with low water solubility (e.g. < 1 mg/mL), you may test these formulations using a minute amount of products to avoid loss of samples.

Injection Formulations
(e.g. IP/IV/IM/SC)
Injection Formulation 1: DMSO : Tween 80: Saline = 10 : 5 : 85 (i.e. 100 μL DMSO stock solution 50 μL Tween 80 850 μL Saline)
*Preparation of saline: Dissolve 0.9 g of sodium chloride in 100 mL ddH ₂ O to obtain a clear solution.
Injection Formulation 2: DMSO : PEG300 :Tween 80 : Saline = 10 : 40 : 5 : 45 (i.e. 100 μL DMSO 400 μLPEG300 50 μL Tween 80 450 μL Saline)
Injection Formulation 3: DMSO : Corn oil = 10 : 90 (i.e. 100 μL DMSO 900 μL Corn oil)
Example: Take the Injection Formulation 3 (DMSO : Corn oil = 10 : 90) as an example, if 1 mL of 2.5 mg/mL working solution is to be prepared, you can take 100 μL 25 mg/mL DMSO stock solution and add to 900 μL corn oil, mix well to obtain a clear or suspension solution (2.5 mg/mL, ready for use in animals).
Injection Formulation 4: DMSO : 20% SBE-β-CD in saline = 10 : 90 [i.e. 100 μL DMSO 900 μL (20% SBE-β-CD in saline)]
*Preparation of 20% SBE-β-CD in Saline (4°C,1 week): Dissolve 2 g SBE-β-CD in 10 mL saline to obtain a clear solution.
Injection Formulation 5: 2-Hydroxypropyl-β-cyclodextrin : Saline = 50 : 50 (i.e. 500 μL 2-Hydroxypropyl-β-cyclodextrin 500 μL Saline)
Injection Formulation 6: DMSO : PEG300 : castor oil : Saline = 5 : 10 : 20 : 65 (i.e. 50 μL DMSO 100 μLPEG300 200 μL castor oil 650 μL Saline)
Injection Formulation 7: Ethanol : Cremophor : Saline = 10: 10 : 80 (i.e. 100 μL Ethanol 100 μL Cremophor 800 μL Saline)
Injection Formulation 8: Dissolve in Cremophor/Ethanol (50 : 50), then diluted by Saline
Injection Formulation 9: EtOH : Corn oil = 10 : 90 (i.e. 100 μL EtOH 900 μL Corn oil)
Injection Formulation 10: EtOH : PEG300:Tween 80 : Saline = 10 : 40 : 5 : 45 (i.e. 100 μL EtOH 400 μLPEG300 50 μL Tween 80 450 μL Saline)

Oral Formulations Oral Formulation 1: Suspend in 0.5% CMC Na (carboxymethylcellulose sodium)
Oral Formulation 2: Suspend in 0.5% Carboxymethyl cellulose
Example: Take the Oral Formulation 1 (Suspend in 0.5% CMC Na) as an example, if 100 mL of 2.5 mg/mL working solution is to be prepared, you can first prepare 0.5% CMC Na solution by measuring 0.5 g CMC Na and dissolve it in 100 mL ddH2O to obtain a clear solution; then add 250 mg of the product to 100 mL 0.5% CMC Na solution, to make the suspension solution (2.5 mg/mL, ready for use in animals).
Oral Formulation 3: Dissolved in PEG400
Oral Formulation 4: Suspend in 0.2% Carboxymethyl cellulose
Oral Formulation 5: Dissolve in 0.25% Tween 80 and 0.5% Carboxymethyl cellulose
Oral Formulation 6: Mixing with food powders

Note: Please be aware that the above formulations are for reference only. InvivoChem strongly recommends customers to read literature methods/protocols carefully before determining which formulation you should use for in vivo studies, as different compounds have different solubility properties and have to be formulated differently.

 (Please use freshly prepared in vivo formulations for optimal results.)
Preparing Stock Solutions 1 mg 5 mg 10 mg
1 mM 1.7247 mL 8.6237 mL 17.2473 mL
5 mM 0.3449 mL 1.7247 mL 3.4495 mL
10 mM 0.1725 mL 0.8624 mL 1.7247 mL
*Note: Please select an appropriate solvent for the preparation of stock solution based on your experiment needs. For most products, DMSO can be used for preparing stock solutions (e.g. 5 mM, 10 mM, or 20 mM concentration); some products with high aqueous solubility may be dissolved in water directly. Solubility information is available at the above Solubility Data section. Once the stock solution is prepared, aliquot it to routine usage volumes and store at -20°C or -80°C. Avoid repeated freeze and thaw cycles.