PeptideDB

Ophiobolin C 19022-51-6

Ophiobolin C 19022-51-6

CAS No.: 19022-51-6

Ophiobolin C, bioactive compound
Data collection:peptidedb@qq.com

This product is for research use only, not for human use. We do not sell to patients.

Ophiobolin C, bioactive compound

Physicochemical Properties


Molecular Formula C25H38O3
Molecular Weight 386.56742
Exact Mass 386.282
CAS # 19022-51-6
PubChem CID 11234566
Appearance Typically exists as solid at room temperature
Density 1.064g/cm3
Boiling Point 512.4ºC at 760mmHg
Flash Point 277.8ºC
Vapour Pressure 1.21E-12mmHg at 25°C
Index of Refraction 1.544
LogP 5.276
Hydrogen Bond Donor Count 1
Hydrogen Bond Acceptor Count 3
Rotatable Bond Count 5
Heavy Atom Count 28
Complexity 686
Defined Atom Stereocenter Count 7
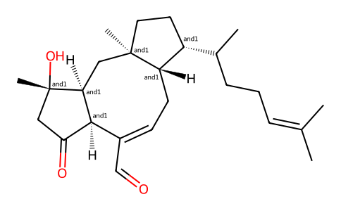
SMILES

C/C(=C/CCC([C@H]1CC[C@@]2(C[C@H]3[C@@H](C(=CC[C@@H]12)C=O)C(=O)C[C@]3(C)O)C)C)/C |c:13,&1:6,9,11,12,16,22|

InChi Key PLWMYIADTRHIMY-BNFAVABNSA-N
InChi Code

InChI=1S/C25H38O3/c1-16(2)7-6-8-17(3)19-11-12-24(4)13-21-23(22(27)14-25(21,5)28)18(15-26)9-10-20(19)24/h7,9,15,17,19-21,23,28H,6,8,10-14H2,1-5H3/b18-9-/t17-,19+,20-,21-,23+,24+,25+/m0/s1
Chemical Name

(1R,3S,4R,7S,8E,11S,12R)-4-hydroxy-1,4-dimethyl-12-[(2S)-6-methylhept-5-en-2-yl]-6-oxotricyclo[9.3.0.03,7]tetradec-8-ene-8-carbaldehyde
HS Tariff Code 2934.99.9001
Storage

Powder-20°C 3 years

4°C 2 years

In solvent -80°C 6 months

-20°C 1 month

Shipping Condition Room temperature (This product is stable at ambient temperature for a few days during ordinary shipping and time spent in Customs)

Biological Activity


Additional Infomation Ophiobolin C is a sesterterpenoid that is ophiobolane with a hydroxy group at position 3, oxo group at positions 5, formyl group at position 7, and double bonds at positions 7-8 and 19-20. It has a role as an antineoplastic agent, an apoptosis inducer, an Aspergillus metabolite, a chemokine receptor 5 antagonist, a nematicide and a fungal metabolite. It is a cyclic ketone, an enal, a sesterterpenoid, a tertiary alcohol, a carbotricyclic compound and an olefinic compound. It derives from a hydride of an ophiobolane.
Ophiobolin C has been reported in Aspergillus stellatus with data available.

Solubility Data


Solubility (In Vitro) May dissolve in DMSO (in most cases), if not, try other solvents such as H2O, Ethanol, or DMF with a minute amount of products to avoid loss of samples
Solubility (In Vivo) Note: Listed below are some common formulations that may be used to formulate products with low water solubility (e.g. < 1 mg/mL), you may test these formulations using a minute amount of products to avoid loss of samples.

Injection Formulations
(e.g. IP/IV/IM/SC)
Injection Formulation 1: DMSO : Tween 80: Saline = 10 : 5 : 85 (i.e. 100 μL DMSO stock solution 50 μL Tween 80 850 μL Saline)
*Preparation of saline: Dissolve 0.9 g of sodium chloride in 100 mL ddH ₂ O to obtain a clear solution.
Injection Formulation 2: DMSO : PEG300 :Tween 80 : Saline = 10 : 40 : 5 : 45 (i.e. 100 μL DMSO 400 μLPEG300 50 μL Tween 80 450 μL Saline)
Injection Formulation 3: DMSO : Corn oil = 10 : 90 (i.e. 100 μL DMSO 900 μL Corn oil)
Example: Take the Injection Formulation 3 (DMSO : Corn oil = 10 : 90) as an example, if 1 mL of 2.5 mg/mL working solution is to be prepared, you can take 100 μL 25 mg/mL DMSO stock solution and add to 900 μL corn oil, mix well to obtain a clear or suspension solution (2.5 mg/mL, ready for use in animals).
Injection Formulation 4: DMSO : 20% SBE-β-CD in saline = 10 : 90 [i.e. 100 μL DMSO 900 μL (20% SBE-β-CD in saline)]
*Preparation of 20% SBE-β-CD in Saline (4°C,1 week): Dissolve 2 g SBE-β-CD in 10 mL saline to obtain a clear solution.
Injection Formulation 5: 2-Hydroxypropyl-β-cyclodextrin : Saline = 50 : 50 (i.e. 500 μL 2-Hydroxypropyl-β-cyclodextrin 500 μL Saline)
Injection Formulation 6: DMSO : PEG300 : castor oil : Saline = 5 : 10 : 20 : 65 (i.e. 50 μL DMSO 100 μLPEG300 200 μL castor oil 650 μL Saline)
Injection Formulation 7: Ethanol : Cremophor : Saline = 10: 10 : 80 (i.e. 100 μL Ethanol 100 μL Cremophor 800 μL Saline)
Injection Formulation 8: Dissolve in Cremophor/Ethanol (50 : 50), then diluted by Saline
Injection Formulation 9: EtOH : Corn oil = 10 : 90 (i.e. 100 μL EtOH 900 μL Corn oil)
Injection Formulation 10: EtOH : PEG300:Tween 80 : Saline = 10 : 40 : 5 : 45 (i.e. 100 μL EtOH 400 μLPEG300 50 μL Tween 80 450 μL Saline)

Oral Formulations Oral Formulation 1: Suspend in 0.5% CMC Na (carboxymethylcellulose sodium)
Oral Formulation 2: Suspend in 0.5% Carboxymethyl cellulose
Example: Take the Oral Formulation 1 (Suspend in 0.5% CMC Na) as an example, if 100 mL of 2.5 mg/mL working solution is to be prepared, you can first prepare 0.5% CMC Na solution by measuring 0.5 g CMC Na and dissolve it in 100 mL ddH2O to obtain a clear solution; then add 250 mg of the product to 100 mL 0.5% CMC Na solution, to make the suspension solution (2.5 mg/mL, ready for use in animals).
Oral Formulation 3: Dissolved in PEG400
Oral Formulation 4: Suspend in 0.2% Carboxymethyl cellulose
Oral Formulation 5: Dissolve in 0.25% Tween 80 and 0.5% Carboxymethyl cellulose
Oral Formulation 6: Mixing with food powders

Note: Please be aware that the above formulations are for reference only. InvivoChem strongly recommends customers to read literature methods/protocols carefully before determining which formulation you should use for in vivo studies, as different compounds have different solubility properties and have to be formulated differently.

 (Please use freshly prepared in vivo formulations for optimal results.)
Preparing Stock Solutions 1 mg 5 mg 10 mg
1 mM 2.5869 mL 12.9343 mL 25.8685 mL
5 mM 0.5174 mL 2.5869 mL 5.1737 mL
10 mM 0.2587 mL 1.2934 mL 2.5869 mL
*Note: Please select an appropriate solvent for the preparation of stock solution based on your experiment needs. For most products, DMSO can be used for preparing stock solutions (e.g. 5 mM, 10 mM, or 20 mM concentration); some products with high aqueous solubility may be dissolved in water directly. Solubility information is available at the above Solubility Data section. Once the stock solution is prepared, aliquot it to routine usage volumes and store at -20°C or -80°C. Avoid repeated freeze and thaw cycles.