PeptideDB

Mal-PEG2-VCP-Eribulin 2130869-18-8

Mal-PEG2-VCP-Eribulin 2130869-18-8

CAS No.: 2130869-18-8

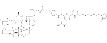
Mal-PEG2-VCP-Eribulin is a drug-linker conjugatecomposed of Mal-PEG2-VCP (an ADC linker) and Eribulin (a highly potent m
Data collection:peptidedb@qq.com

This product is for research use only, not for human use. We do not sell to patients.

Mal-PEG2-VCP-Eribulin is a drug-linker conjugate composed of Mal-PEG2-VCP (an ADC linker) and Eribulin (a highly potent mitotic/tubulin inhibitor used a warhead in ADC). Eribulin (E7389; E-7389; trade name Halaven) is microtubule targeting agent (MTA) that has been approved for use in the treatment of metastatic breast cancer. Mal-PEG2-VCP-Eribulin is used in the construction of antibody drug conjugates-ADC.



Physicochemical Properties


Molecular Formula C70H99N7O21
Molecular Weight 1374.56938099861
Exact Mass 1373.689
CAS # 2130869-18-8
PubChem CID 138911392
Appearance White to off-white solid powder
LogP 0.9
Hydrogen Bond Donor Count 7
Hydrogen Bond Acceptor Count 21
Rotatable Bond Count 27
Heavy Atom Count 98
Complexity 2880
Defined Atom Stereocenter Count 21
SMILES

O1[C@@H]2C[C@@]34CC[C@H]5CC(=C)[C@H](CC[C@H]6C[C@@H](C)C(=C)[C@@H](C[C@H]7[C@@H]([C@H]([C@@H](C[C@@H](CNC(=O)OCC8C=CC(=CC=8)NC([C@H](CCCNC(N)=O)NC([C@H](C(C)C)NC(CCOCCOCCN8C(C=CC8=O)=O)=O)=O)=O)O)O7)OC)CC(C[C@H]7CC[C@H]8[C@@H]([C@@H]([C@H]1[C@H]([C@H]2O3)O8)O4)O7)=O)O6)O5

InChi Key ODAGJGZILCZEBN-LHGNNKGASA-N
InChi Code

InChI=1S/C70H99N7O21/c1-37(2)59(76-56(80)20-24-88-26-27-89-25-23-77-57(81)17-18-58(77)82)67(84)75-49(8-7-22-72-68(71)85)66(83)74-42-11-9-41(10-12-42)36-90-69(86)73-35-44(79)32-54-60(87-6)48-31-43(78)30-46-14-16-51-61(93-46)65-64-63(95-51)62-55(96-64)34-70(97-62,98-65)21-19-47-29-39(4)50(91-47)15-13-45-28-38(3)40(5)52(92-45)33-53(48)94-54/h9-12,17-18,37-38,44-55,59-65,79H,4-5,7-8,13-16,19-36H2,1-3,6H3,(H,73,86)(H,74,83)(H,75,84)(H,76,80)(H3,71,72,85)/t38-,44+,45+,46-,47+,48+,49+,50+,51+,52-,53+,54-,55-,59+,60-,61+,62+,63+,64-,65+,70+/m1/s1
Chemical Name

[4-[[(2S)-5-(carbamoylamino)-2-[[(2S)-2-[3-[2-[2-(2,5-dioxopyrrol-1-yl)ethoxy]ethoxy]propanoylamino]-3-methylbutanoyl]amino]pentanoyl]amino]phenyl]methyl N-[(2S)-2-hydroxy-3-[(1S,3S,6S,9S,12S,14R,16R,18S,20R,21R,22S,26R,29S,31R,32S,33R,35R,36S)-21-methoxy-14-methyl-8,15-dimethylidene-24-oxo-2,19,30,34,37,39,40,41-octaoxanonacyclo[24.9.2.13,32.13,33.16,9.112,16.018,22.029,36.031,35]hentetracontan-20-yl]propyl]carbamate
Synonyms

Mal-PEG2-VCP-Eribulin; 2130869-18-8; Mal-PEG2-VC-PAB-Eribulin;
HS Tariff Code 2934.99.9001
Storage

Powder-20°C 3 years

4°C 2 years

In solvent -80°C 6 months

-20°C 1 month

Note: (1). This product requires protection from light (avoid light exposure) during transportation and storage.(2). Please store this product in a sealed and protected environment (e.g. under nitrogen), avoid exposure to moisture.
Shipping Condition Room temperature (This product is stable at ambient temperature for a few days during ordinary shipping and time spent in Customs)

Biological Activity


Targets Tubulin polymerization; microtubule
References

[1]. Eribulin-based antibody-drug conjugates and methods of use. US20170252458A1.

[2]. Eribulin induces irreversible mitotic blockade: implications\nof cell-based pharmacodynamics for in vivo efficacy under intermittent\ndosing conditions. Cancer Res. 2011 Jan 15;71(2):496-505.

Additional Infomation Eribulin (E7389), a mechanistically unique microtubule inhibitor in phase III clinical trials for cancer, exhibits superior efficacy in vivo relative to the more potent compound ER-076349, a fact not explained by different pharmacokinetic properties. A cell-based pharmacodynamic explanation was suggested by observations that mitotic blockade induced by eribulin, but not ER-076349, is irreversible as measured by a flow cytometric mitotic block reversibility assay employing full dose/response treatment. Cell viability 5 days after drug washout established relationships between mitotic block reversibility and long-term cell survival. Similar results occurred in U937, Jurkat, HL-60, and HeLa cells, ruling out cell type-specific effects. Studies with other tubulin agents suggest that mitotic block reversibility is a quantifiable, compound-specific characteristic of antimitotic agents in general. Bcl-2 phosphorylation patterns parallel eribulin and ER-076349 mitotic block reversibility patterns, suggesting persistent Bcl-2 phosphorylation contributes to long-term cell-viability loss after eribulin's irreversible blockade. Drug uptake and washout/retention studies show that [3H]eribulin accumulates to lower intracellular levels than [3H]ER-076349, yet is retained longer and at higher levels. Similar findings occurred with irreversible vincristine and reversible vinblastine, pointing to persistent cellular retention as a component of irreversibility. Our results suggest that eribulin's in vivo superiority derives from its ability to induce irreversible mitotic blockade, which appears related to persistent drug retention and sustained Bcl-2 phosphorylation. More broadly, our results suggest that compound-specific reversibility characteristics of antimitotic agents contribute to interactions between cell-based pharmacodynamics and in vivo pharmacokinetics that define antitumor efficacy under intermittent dosing conditions. [1]

Solubility Data


Solubility (In Vitro) DMSO : ≥ 10 mg/mL (~7.28 mM)
Solubility (In Vivo) Note: Listed below are some common formulations that may be used to formulate products with low water solubility (e.g. < 1 mg/mL), you may test these formulations using a minute amount of products to avoid loss of samples.

Injection Formulations
(e.g. IP/IV/IM/SC)
Injection Formulation 1: DMSO : Tween 80: Saline = 10 : 5 : 85 (i.e. 100 μL DMSO stock solution 50 μL Tween 80 850 μL Saline)
*Preparation of saline: Dissolve 0.9 g of sodium chloride in 100 mL ddH ₂ O to obtain a clear solution.
Injection Formulation 2: DMSO : PEG300 :Tween 80 : Saline = 10 : 40 : 5 : 45 (i.e. 100 μL DMSO 400 μLPEG300 50 μL Tween 80 450 μL Saline)
Injection Formulation 3: DMSO : Corn oil = 10 : 90 (i.e. 100 μL DMSO 900 μL Corn oil)
Example: Take the Injection Formulation 3 (DMSO : Corn oil = 10 : 90) as an example, if 1 mL of 2.5 mg/mL working solution is to be prepared, you can take 100 μL 25 mg/mL DMSO stock solution and add to 900 μL corn oil, mix well to obtain a clear or suspension solution (2.5 mg/mL, ready for use in animals).
Injection Formulation 4: DMSO : 20% SBE-β-CD in saline = 10 : 90 [i.e. 100 μL DMSO 900 μL (20% SBE-β-CD in saline)]
*Preparation of 20% SBE-β-CD in Saline (4°C,1 week): Dissolve 2 g SBE-β-CD in 10 mL saline to obtain a clear solution.
Injection Formulation 5: 2-Hydroxypropyl-β-cyclodextrin : Saline = 50 : 50 (i.e. 500 μL 2-Hydroxypropyl-β-cyclodextrin 500 μL Saline)
Injection Formulation 6: DMSO : PEG300 : castor oil : Saline = 5 : 10 : 20 : 65 (i.e. 50 μL DMSO 100 μLPEG300 200 μL castor oil 650 μL Saline)
Injection Formulation 7: Ethanol : Cremophor : Saline = 10: 10 : 80 (i.e. 100 μL Ethanol 100 μL Cremophor 800 μL Saline)
Injection Formulation 8: Dissolve in Cremophor/Ethanol (50 : 50), then diluted by Saline
Injection Formulation 9: EtOH : Corn oil = 10 : 90 (i.e. 100 μL EtOH 900 μL Corn oil)
Injection Formulation 10: EtOH : PEG300:Tween 80 : Saline = 10 : 40 : 5 : 45 (i.e. 100 μL EtOH 400 μLPEG300 50 μL Tween 80 450 μL Saline)

Oral Formulations Oral Formulation 1: Suspend in 0.5% CMC Na (carboxymethylcellulose sodium)
Oral Formulation 2: Suspend in 0.5% Carboxymethyl cellulose
Example: Take the Oral Formulation 1 (Suspend in 0.5% CMC Na) as an example, if 100 mL of 2.5 mg/mL working solution is to be prepared, you can first prepare 0.5% CMC Na solution by measuring 0.5 g CMC Na and dissolve it in 100 mL ddH2O to obtain a clear solution; then add 250 mg of the product to 100 mL 0.5% CMC Na solution, to make the suspension solution (2.5 mg/mL, ready for use in animals).
Oral Formulation 3: Dissolved in PEG400
Oral Formulation 4: Suspend in 0.2% Carboxymethyl cellulose
Oral Formulation 5: Dissolve in 0.25% Tween 80 and 0.5% Carboxymethyl cellulose
Oral Formulation 6: Mixing with food powders

Note: Please be aware that the above formulations are for reference only. InvivoChem strongly recommends customers to read literature methods/protocols carefully before determining which formulation you should use for in vivo studies, as different compounds have different solubility properties and have to be formulated differently.

 (Please use freshly prepared in vivo formulations for optimal results.)
Preparing Stock Solutions 1 mg 5 mg 10 mg
1 mM 0.7275 mL 3.6375 mL 7.2750 mL
5 mM 0.1455 mL 0.7275 mL 1.4550 mL
10 mM 0.0728 mL 0.3638 mL 0.7275 mL
*Note: Please select an appropriate solvent for the preparation of stock solution based on your experiment needs. For most products, DMSO can be used for preparing stock solutions (e.g. 5 mM, 10 mM, or 20 mM concentration); some products with high aqueous solubility may be dissolved in water directly. Solubility information is available at the above Solubility Data section. Once the stock solution is prepared, aliquot it to routine usage volumes and store at -20°C or -80°C. Avoid repeated freeze and thaw cycles.